Package {frailtyMMpen}


Type: Package
Title: Efficient Algorithm for High-Dimensional Frailty Model
Version: 1.2.1
Maintainer: Yunpeng Zhou <u3514104@connect.hku.hk>
Description: The penalized and non-penalized Minorize-Maximization (MM) method for frailty models to fit the clustered data, multi-event data and recurrent data. Least absolute shrinkage and selection operator (LASSO), minimax concave penalty (MCP) and smoothly clipped absolute deviation (SCAD) penalized functions are implemented. All the methods are computationally efficient. These general methods are proposed based on the following papers, Huang, Xu and Zhou (2022) <doi:10.3390/math10040538>, Huang, Xu and Zhou (2023) <doi:10.1177/09622802221133554>.
License: GPL-2 | GPL-3 [expanded from: GPL (≥ 2)]
Encoding: UTF-8
LazyData: false
Depends: R (≥ 3.5.0), survival, numDeriv, mgcv
Imports: Rcpp (≥ 1.0.8), utils, graphics, stats
LinkingTo: Rcpp, RcppGSL
RoxygenNote: 7.2.3
NeedsCompilation: yes
Packaged: 2023-08-08 07:51:11 UTC; micha
Author: Xifen Huang [aut], Yunpeng Zhou [aut, cre], Jinfeng Xu [ctb]
Repository: CRAN
Date/Publication: 2023-08-08 09:10:02 UTC

cluster function

Description

Specify cluster id for clustered data or object id for recurrent data in the input formula.

Usage

cluster(x)

Arguments

x

name from original dataframe which specifies the cluster or object id.

Value

No return value, called to construct formula.


retrieve the coefficients under given tuning parameter

Description

retrieve the coefficients under given tuning parameter

Usage

## S3 method for class 'fpen'
coef(object, ...)

Arguments

object

Object with class "fpen", generated from frailtyMMpen.

...

Ignored

Details

Without given a specific tune value, the coefficients with minimum BIC is returned. If tune=a, the coefficient is computed using linear interpolation of the result from the coefficients estimated from the run of regularization path. Thus, a should between the minimum and maximum value of the tuning parameter sequences used for the model fitting.

Value

A vector of estimated parameters.


event function

Description

Specify event id for multi-event data in the input formula.

Usage

event(x)

Arguments

x

name from original dataframe which specifies the event id.

Value

No return value, called to construct formula.


Fitting frailty models with clustered, multi-event and recurrent data using MM algorithm

Description

This formula is used to fit the non-penalized regression. 3 types of the models can be fitted, shared frailty model where hazard rate of j^{th} object in i^{th} cluster is

\lambda_{ij}(t|\omega_i) = \lambda_0(t) \omega_i \exp(\boldsymbol{\beta}' \mathbf{X_{ij}}).

The multi-event frailty model with different baseline hazard of different event and the hazard rate of j^{th} event for individual i^{th} is

\lambda_{ij}(t|\omega_i) = \lambda_{0j}(t) \omega_i \exp(\boldsymbol{\beta}' \mathbf{X_{ij}}).

The recurrent event model where the j^{th} event of individual i has observed feature \mathbf{X_{ij}},

\lambda_{ij}(t|\omega_i) = \lambda_0(t) \omega_i \exp(\boldsymbol{\beta}' \mathbf{X_{ij}}).

For the clustered type of data, we further assume that cluster i has n_i with j=1,...,n_{i} number of objects where they share the common frailty parameter \omega_i. For simplicity, we let \boldsymbol{\alpha} be the collection of all parameters and baseline hazard function. Then, the marginal likelihood is as follows,

fig1.png

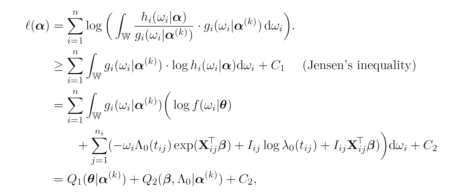
Given the objective functions above, we take the clustered data as an example to illustrate the application of MM algorithm in optimizing the observed likelihood function, the observed log-likelihood function is,

fig4.png

where,

fig5.png

In order to formulate the iterative algorithm to optimize the observed log likelihood, we further define density function g_i(\cdot) based on the estimates of the parameters in k^{th} iteration \boldsymbol{\alpha}^{(k)}

fig6.png

Then, we construct the surrogate function to minimize the mariginal log-likelihood using the Jensen's inequality,

fig7.png

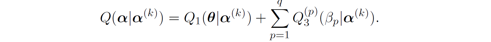
which successfully separated \boldsymbol{\alpha} into \boldsymbol{\theta} and (\boldsymbol{\beta}, \Lambda_{0}) where,

fig8.png

and let fig91.png,

fig9.png

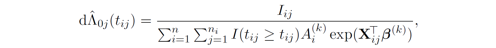
And then we estimate \Lambda_{0} by,

fig10.png

Then, we have,

fig11.png

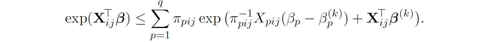
Further more, we apply hyperplane inequality to construct surrogate function for \boldsymbol{\beta} where we can update the its estimates coordinate wise,

fig12.png

By applying Jensen's inequality,

fig13.png

Finally,

fig14.png

Usage

frailtyMM(
  formula,
  data,
  frailty = "gamma",
  power = NULL,
  tol = 1e-05,
  maxit = 200,
  ...
)

Arguments

formula

Formula where the left hand side is an object of the type Surv and the right hand side contains the variables and additional specifications. +cluster() function specify the group id for clustered data or individual id for recurrent data. +event() function specify the event id for multi-event data (only two events are allowed).

data

The data.frame where the formula argument can be evaluated.

frailty

The frailty used for model fitting. The default is "lognormal", other choices are "invgauss", "gamma" and "pvf". (Note that the computation time for PVF family will be slow due to the non-explicit expression of likelihood function)

power

The power used if PVF frailty is applied.

tol

The tolerance level for convergence.

maxit

Maximum iterations for MM algorithm.

...

additional arguments pass to the function.

Details

To run the shared frailty model, Surv(tstop, status) formula should be applied along with +cluster() to specify the corresponding clusters, if you want to run the simple frailty model without shared frailty, you do not need to use +cluster() and the formula only contains the name of the covariates. To run the multi-event model, Surv(tstop, status) formula should be applied along with +event() to specify the corresponding events. If multi-event data is fitted, please use 1,2...,K to denote the event id from the input data. To run the recurrent event model, Surv(tstart, tstop, status) formula should be applied along with +cluster() where the cluster here denotes the individual id and each individual may have many observed events at different time points.

The default frailty will be log-normal frailty, in order to fit other frailty models, simply set parameter frailty as "InvGauss", "Gamma" or "PVF", the parameter power is only used when frailty=PVF and since the likelihood of PVF (tweedie) distribution is approximated using Tweedie function from package mgcv, 1<power<2.

Value

An object of class fmm that contains the following fields:

coef

coefficient estimated from a specific model.

est.tht

frailty parameter estimated from a specific model.

lambda

frailty for each observation estimated from a specific model.

likelihood

The observed log-likelihood given estimated parameters.

input

The input data re-ordered by cluster id. y is the event time, X is covariate matrix and d is the status while 0 indicates censoring.

frailty

frailty used for model fitting.

power

power used for model fitting is PVF frailty is applied.

iter

total number of iterations.

convergence

convergence threshold.

formula

formula applied as input.

coefname

name of each coefficient from input.

id

id for individuals or clusters, 1,2...,a. Note that, since the original id may not be the sequence starting from 1, this output id may not be identical to the original id. Also, the order of id is corresponding to the returned input.

N

total number of observations.

a

total number of individuals or clusters.

datatype

model used for fitting.

References

Examples


# Kidney data fitted by Clustered Inverse Gaussian Frailty Model


InvG_real_cl = frailtyMM(Surv(time, status) ~ age + sex + cluster(id),
                         kidney, frailty = "invgauss")
InvG_real_cl

# Cgd data fitted by Recurrent Log-Normal Frailty Model

logN_real_re = frailtyMM(Surv(tstart, tstop, status) ~ sex + treat + cluster(id),
                         cgd, frailty = "gamma")
logN_real_re


# Simulated data example

data(simdataCL)

# Parameter estimation under different model structure and frailties

# Clustered Gamma Frailty Model
gam_cl = frailtyMM(Surv(time, status) ~ . + cluster(id), 
                   simdataCL, frailty = "gamma")


# Clustered Log-Normal Frailty Model
logn_cl = frailtyMM(Surv(time, status) ~ . + cluster(id), 
                    simdataCL, frailty = "lognormal")

# Clustered Inverse Gaussian Frailty Model
invg_cl = frailtyMM(Surv(time, status) ~ . + cluster(id), 
                    simdataCL, frailty = "invgauss")
                   
data(simdataME)

# Multi-event Gamma Frailty Model
gam_me = frailtyMM(Surv(time, status) ~ . + cluster(id), 
                   simdataCL, frailty = "gamma")


# Multi-event Log-Normal Frailty Model
logn_me = frailtyMM(Surv(time, status) ~ . + event(id), 
                    simdataME, frailty = "lognormal")

# Multi-event Inverse Gaussian Frailty Model
invg_me = frailtyMM(Surv(time, status) ~ . + event(id),
                    simdataME, frailty = "invgauss")

data(simdataRE)

# Recurrent event Gamma Frailty Model
gam_re = frailtyMM(Surv(start, end, status) ~ . + cluster(id),
                   simdataRE, frailty = "gamma")

# Recurrent event Log-Normal Frailty Model
logn_re = frailtyMM(Surv(start, end, status) ~ . + cluster(id),
                   simdataRE, frailty = "lognormal")

# Recurrent event Inverse Gaussian Frailty Model
invg_re = frailtyMM(Surv(start, end, status) ~ . + cluster(id), 
                    simdataRE, frailty = "invgauss")


# Obtain the summary statistics under fitted model

coef(gam_cl)
summary(gam_cl)


Fitting penalized frailty models with clustered, multi-event and recurrent data using MM algorithm

Description

This formula is used to fit the penalized regression. 3 types of the models can be fitted similar to the function frailtyMM. In addition, variable selection can be done by three types of penalty, LASSO, MCP and SCAD with the following objective function where \lambda is the tuning parameter and q is the dimension of \boldsymbol{\beta},

l(\boldsymbol{\beta},\Lambda_0|Y_{obs}) - n\sum_{p=1}^{q} p(|\beta_p|, \lambda).

The BIC is computed using the following equation,

-2l(\hat{\boldsymbol{\beta}}, \hat{\Lambda}_0) + G_n(\hat{S}+1)\log(n),

where G_n=\max\{1, \log(\log(q+1))\} and \hat{S} is the degree of freedom.

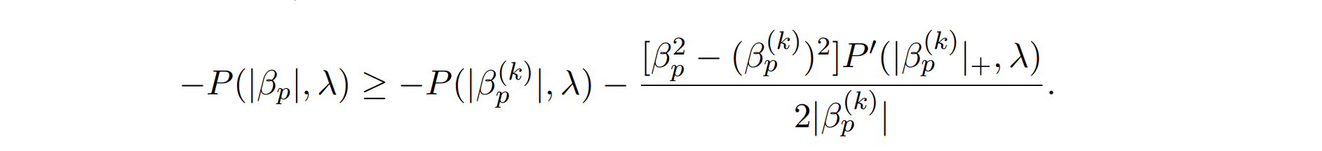
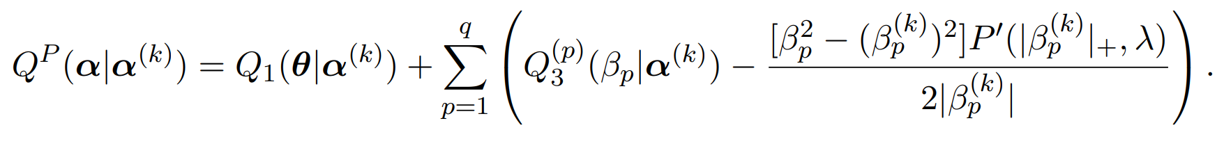
Surrogate function is also derived for penalty part for efficient estimation of penalized regression, similar to the notation used in frailtyMM, we let \boldsymbol{\alpha} be the collection of all parameters and baseline hazard function. Given that,

fig15.png

by local quadratic approximation,

fig16.png

And thus, the surrogate function given k^{th} iteration result is as follows,

fig17.png

Usage

frailtyMMpen(
  formula,
  data,
  frailty = "gamma",
  power = NULL,
  penalty = "LASSO",
  gam = NULL,
  tune = NULL,
  tol = 1e-05,
  maxit = 200,
  ...
)

Arguments

formula

Formula where the left hand side is an object of the type Surv and the right hand side contains the variables and additional specifications. +cluster() function specify the group id for clustered data or individual id for recurrent data. +event() function specify the event id for multi-event data (only two events are allowed).

data

The data.frame where the formula argument can be evaluated.

frailty

The frailty used for model fitting. The default is "lognormal", other choices are "invgauss", "gamma" and "pvf". (Note that the computation time for PVF family will be slow due to the non-explicit expression of likelihood function)

power

The power used if PVF frailty is applied.

penalty

The penalty used for regularization, the default is "LASSO", other choices are "MCP" and "SCAD".

gam

The tuning parameter for MCP and SCAD which controls the concavity of the penalty. For MCP,

p^{\prime}(\beta, \lambda)=sign(\beta)(\lambda - \frac{|\beta|}{\gamma})

and for "SCAD",

p^{\prime}(\beta, \lambda)=\lambda\{I(|\beta| \leq \lambda)+\frac{(\gamma \lambda-|\beta|)_{+}}{(\gamma-1) \lambda} I(|\beta|>\lambda)\}.

The default value of \gamma for MCP is 3 and SCAD is 3.7.

tune

The sequence of tuning parameters provided by user. If not provided, the default grid will be applied.

tol

The tolerance level for convergence.

maxit

Maximum iterations for MM algorithm.

...

additional arguments pass to the function.

Details

Without a given tune, the default sequence of tuning parameters are used to provide the regularization path. The formula is same as the input for function frailtyMM.

Value

An object of class fmm that contains the following fields:

coef

matrix of coefficient estimated from a specific model where each column correponds to an input tuning parameter.

est.tht

vector of frailty parameters estimated from a specific model with respect to each tuning parameter.

lambda

list of frailty for each observation estimated from a specific model with respect to each tuning parameter.

likelihood

vector of the observed log-likelihood given estimated parameters with respect to each tuning parameter.

BIC

vector of the BIC given estimated parameters with respect to each tuning parameter.

tune

vector of tuning parameters used for penalized regression.

tune.min

tuning parameter where minimal of BIC is obtained.

convergence

convergence threshold.

input

The input data re-ordered by cluster id. y is the event time, X is covariate matrix and d is the status while 0 indicates censoring.

y

input stopping time.

X

input covariate matrix.

d

input censoring indicator.

formula

formula applied as input.

coefname

name of each coefficient from input.

id

id for individuals or clusters, 1,2...,a. Note that, since the original id may not be the sequence starting from 1, this output id may not be identical to the original id. Also, the order of id is corresponding to the returned input.

N

total number of observations.

a

total number of individuals or clusters.

datatype

model used for fitting.

References

See Also

frailtyMM

Examples


data(simdataCL)

# Penalized regression under clustered frailty model

# Clustered Gamma Frailty Model

# Using default tuning parameter sequence
gam_cl1 = frailtyMMpen(Surv(time, status) ~ . + cluster(id),
                       simdataCL, frailty = "gamma")


# Using given tuning parameter sequence
gam_cl2 = frailtyMMpen(Surv(time, status) ~ . + cluster(id), 
                       simdataCL, frailty = "gamma", tune = 0.1)

# Obtain the coefficient where minimum BIC is obtained
coef(gam_cl1)

# Obtain the coefficient with tune = 0.2.
coef(gam_cl1, tune = 0.2)

# Plot the regularization path
plot(gam_cl1)

# Get the degree of freedom and BIC for the sequence of tuning parameters provided
print(gam_cl1)




Simulated High-dimensional Clustered data

Description

This data include 50 clusters with 4 objects, a total of 200 events are recorded. 500 covariates can be used for model fitting. The data is generated from a gamma frailty model with coefficients (5,5,5,5,...,0) and frailty variance 1.

Usage

data(hdCLdata)

Format

An object of class data.frame with 200 rows and 503 columns.

Examples

data(hdCLdata)

Plot the baseline hazard or the predicted hazard based on the new data

Description

Both the cumulative hazard and the survival curves can be plotted.

Usage

##S3 method for class "fmm"

Arguments

newdata

The new data for prediction of hazard

surv

Plot survival curve instead of cumulative hazard, the default is FALSE

...

Further arguments pass to or from other methods

object

Object with class "fmm"

Details

If parameter newdata is given, the plot is based on the predicted hazard while if it is not given, the plot is based on the baseline hazard. To construct the new data, please refer to the detailed description from function predict.fmm and the following example.

See Also

predict.fmm

Examples



gam_re = frailtyMM(Surv(tstart, tstop, status) ~  sex + treat + cluster(id), cgd, frailty = "gamma")

# Plot the survival curve based on baseline hazard
plot(gam_re, surv = TRUE)

# Construct new data and plot the cumulative hazard based on new data
newre = c(1, 1, 2)
names(newre) = c(gam_re$coefname, "id")
plot(gam_re, newdata = newre)


Plot the regularization path

Description

Plot the whole regularization path run by frailtyMMpen

Usage

##S3 method for class "fpen"

Arguments

x

Object with class "fpen"

...

Further arguments pass to or from other methods


Estimate the baseline hazard or the predict hazard rate based on the new data for non-penalized regression

Description

This function is used to estimate the baseline hazard or to predict the hazard rate of a specific individual given result from model fitting.

Usage

##S3 method for class "fmm"

Arguments

object

Object with class "fmm"

newdata

The new data for prediction of hazard, categorical data has to be transformed to 0 and 1

surv

Plot survival curve instead of cumulative hazard, the default is FALSE

...

Further arguments pass to or from other methods

Details

If parameter newdata is given, the predicted hazard is calculated based on the given data. If parameter newdata is not given, the estimation of baseline hazard will be returned. The confidence band is calculated based on the delta method. Please insure that the input of new data should be of the same coefficient name as object$coefname. Note that if original data contains categorical data, you could check object$coefname to input the corresponding 0 or 1 and name of coefficient for the newdata. For example, if the coefficient name is "sexfemale", then 1 denotes female while 0 denotes male. You may refer to the example below to construct the new data.

Value

output

A dataframe that the first column is the evaluated time point, the second column is the estimated cumulative hazard or survival curve, the third column is the standard error of the estimation result and the fourth and fifth column are the lower bound and upper bound based on 95 percent confidence interval.

Examples



gam_re = frailtyMM(Surv(tstart, tstop, status) ~  sex + treat + cluster(id), cgd, frailty = "Gamma")

# Calculate the survival curve based on baseline hazard
predict(gam_re, surv = TRUE)

# Construct new data and calculate the cumulative hazard based on new data
newre = c(1, 1, 2)
names(newre) = c(gam_re$coefname, "id")
predict(gam_re, newdata = newre)



Estimate the baseline hazard or the predict hazard rate based on the new data for penalized regression

Description

This function is used to estimate the baseline hazard or to predict the hazard rate of a specific individual given result from model fitting.

Usage

##S3 method for class "fpen"

Arguments

object

Object with class "fpen"

tune

The tuning parameter for estimating coefficients

coef

Instead of providing tuning parameter, you can directly provide the coefficients for prediction

newdata

The new data for prediction of hazard, categorical data has to be transformed to 0 and 1

surv

Plot survival curve instead of cumulative hazard, the default is FALSE

...

Further arguments pass to or from other methods

Details

If parameter newdata is given, the predicted hazard is calculated based on the given data. If parameter newdata is not given, the estimation of baseline hazard will be returned. Since the covariance of estimated parameters for penalized regression cannot be obtained from MLE theorem, we only provide the estimation without confidence band. For the formulation of new data, you may refer to function predict.fmm for detailed description.

Value

output

A dataframe that the first column is the evaluated time point and the second column is the estimated cumulative hazard or survival curve.

Examples

 
data(simdataCL)


gam_cl = frailtyMMpen(Surv(time, status) ~  . + cluster(id), simdataCL, frailty = "Gamma")

# Calculate the survival curve based on baseline hazard
predict(gam_cl, surv = TRUE)

# Construct new data and calculate the cumulative hazard based on new data
newcl = c(gam_cl$X[1,], 2)
names(newcl) = c(gam_cl$coefname, "id")
predict(gam_cl, newdata = newcl)


print a non-penalized regression object

Description

Print the summary of a non-penalized regression fitted by any model with function frailtyMM

Usage

## S3 method for class 'fmm'
print(x, ...)

Arguments

x

Object with class "fmm" fitted by function frailtyMM.

...

Ignored

Value

No return value, called to print the summary for non-penalized regression.

See Also

frailtyMM


print a penalized regression object

Description

Print the summary of a non-penalized regression fitted by any model with function frailtyMMpen. The first column is the tuning parameter sequence, the second column is the degree of freedom and the third column is the BIC.

Usage

## S3 method for class 'fpen'
print(x, ...)

Arguments

x

Object with class "fpen" fitted by function frailtyMMpen.

...

Ignored

Value

No return value, called to print the summary for penalized regression.

See Also

frailtyMMpen


Simulated Clustered data

Description

This data include 50 clusters with 10 objects, a total of 100 events are recorded. 30 temporal covariates can be used for model fitting. The data is generated from a gamma frailty model with coefficients (1,2,3,4,0,...,0) and frailty variance 1.

Usage

data(simdataCL)

Format

An object of class data.frame with 500 rows and 33 columns.

Examples

data(simdataCL)

Simulated Multiple Event data

Description

This data include 50 individuals with 2 events, a total of 100 events are recorded. 30 temporal covariates can be used for model fitting. The data is generated from a gamma frailty model with coefficients (1,2,3,4,0,...,0) and frailty variance 1.

Usage

data(simdataME)

Format

An object of class data.frame with 100 rows and 33 columns.

Examples

data(simdataME)

Simulated Recurrent Event data

Description

This data include 50 individuals with recurrent observation of events, a total of 706 events are recorded. 30 temporal covariates can be used for model fitting. The data is generated from a gamma frailty model with coefficients (1,2,3,4,0,...,0) and frailty variance 1.

Usage

data(simdataRE)

Format

An object of class data.frame with 706 rows and 34 columns.

Examples

data(simdataRE)

Provide the summary for the model fitting

Description

Provide the summary for the model fitting

Usage

##S3 method for class "fmm"

Arguments

object

Object with class "fmm", generated from frailtyMM.

...

Ignored

Details

the summary for the model of frailtyMM. The standard error and p-value of estimated parameters are based on Fisher Information matrix.