A flexible and efficient framework for data-driven stochastic disease spread simulations

Build Status CRAN status CRAN RStudio mirror downloads Code coverage

SimInf

The package provides an efficient and very flexible framework to conduct data-driven epidemiological modeling in realistic large scale disease spread simulations. The framework integrates infection dynamics in subpopulations as continuous-time Markov chains using the Gillespie stochastic simulation algorithm and incorporates available data such as births, deaths and movements as scheduled events at predefined time-points. Using C code for the numerical solvers and ‘OpenMP’ (if available) to divide work over multiple processors ensures high performance when simulating a sample outcome. One of our design goals was to make the package extendable and enable usage of the numerical solvers from other R extension packages in order to facilitate complex epidemiological research. The package contains template models and can be extended with user-defined models.

Getting started

You can use one of the predefined compartment models in SimInf, for example, SEIR. But you can also define a custom model ‘on the fly’ using the model parser method mparse. The method takes a character vector of transitions in the form of X -> propensity -> Y and automatically generates the C and R code for the model. The left hand side of the first arrow (->) is the initial state, the right hand side of the last arrow (->) is the final state, and the propensity is written between the two arrows. The flexibility of the mparse approach allows for quick prototyping of new models or features. To illustrate the mparse functionality, let us consider the SIR model in a closed population i.e., no births or deaths. Let beta denote the transmission rate of spread between a susceptible individual and an infectious individual and gamma the recovery rate from infection (gamma = 1 / average duration of infection). It is also possible to define variables which can then be used in calculations of propensities or in calculations of other variables. A variable is defined by the operator <-. Using a variable for the size of the population, the SIR model can be described as:

library(SimInf)

transitions <- c("S -> beta*S*I/N -> I",
                 "I -> gamma*I -> R",
                 "N <- S+I+R")
compartments <- c("S", "I", "R")

The transitions and compartments variables together with the constants beta and gamma can now be used to generate a model with mparse. The model also needs to be initialised with the initial condition u0 and tspan, a vector of time points where the state of the system is to be returned. Let us create a model that consists of 1000 replicates of a population, denoted a node in SimInf, that each starts with 99 susceptibles, 5 infected and 0 recovered individuals.

n <- 1000
u0 <- data.frame(S = rep(99, n), I = rep(5, n), R = rep(0, n))

model <- mparse(transitions = transitions,
                compartments = compartments,
                gdata = c(beta = 0.16, gamma = 0.077),
                u0 = u0,
                tspan = 1:150)

To generate data from the model and then print some basic information about the outcome, run the following commands:

result <- run(model)
result
#> Model: SimInf_model
#> Number of nodes: 1000
#> Number of transitions: 2
#> Number of scheduled events: 0
#> 
#> Global data
#> -----------
#>  Parameter Value
#>  beta      0.160
#>  gamma     0.077
#> 
#> Compartments
#> ------------
#>      Min. 1st Qu. Median   Mean 3rd Qu.   Max.
#>  S   1.00   19.00  30.00  40.74   60.00  99.00
#>  I   0.00    0.00   4.00   6.87   11.00  47.00
#>  R   0.00   28.00  67.00  56.39   83.00 103.00

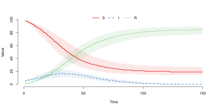
There are several functions in SimInf to facilitate analysis and post-processing of simulated data, for example, trajectory, prevalence and plot. The default plot will display the median count in each compartment across nodes as a colored line together with the inter-quartile range using the same color, but with transparency.

plot(result)
plot of chunk mparse-SIR

Most modeling and simulation studies require custom data analysis once the simulation data has been generated. To support this, SimInf provides the trajectory method to obtain a data.frame with the number of individuals in each compartment at the time points specified in tspan. Below is the first 10 lines of the data.frame with simulated data.

trajectory(result)
#>    node time  S I R
#> 1     1    1 98 6 0
#> 2     2    1 98 6 0
#> 3     3    1 98 6 0
#> 4     4    1 99 5 0
#> 5     5    1 97 7 0
#> 6     6    1 98 5 1
#> 7     7    1 99 5 0
#> 8     8    1 99 5 0
#> 9     9    1 97 7 0
#> 10   10    1 97 6 1
...

Finally, let us use the prevalence method to explore the proportion of infected individuals across all nodes. It takes a model object and a formula specification, where the left hand side of the formula specifies the compartments representing cases i.e., have an attribute or a disease and the right hand side of the formula specifies the compartments at risk. Below is the first 10 lines of the data.frame.

prevalence(result, I ~ S + I + R)
#>    time prevalence
#> 1     1 0.05196154
#> 2     2 0.05605769
#> 3     3 0.06059615
#> 4     4 0.06516346
#> 5     5 0.06977885
#> 6     6 0.07390385
#> 7     7 0.07856731
#> 8     8 0.08311538
#> 9     9 0.08794231
#> 10   10 0.09321154
...

Learn more

See the vignette to learn more about special features that the SimInf R package provides, for example, how to:

Installation

You can install the released version of SimInf from CRAN

install.packages("SimInf")

or use the remotes package to install the development version from GitHub

library(remotes)
install_github("stewid/SimInf")

We refer to section 3.1 in the vignette for detailed installation instructions.

Authors

In alphabetical order: Pavol Bauer ORCID iD, Robin Eriksson ORCID iD, Stefan Engblom ORCID iD, and Stefan Widgren ORCID iD (Maintainer)

Any suggestions, bug reports, forks and pull requests are appreciated. Get in touch.

Citation

If you use SimInf in your research, please cite:


Widgren S, Bauer P, Eriksson R, Engblom S (2019). SimInf: An R Package for Data-Driven Stochastic Disease Spread Simulations. Journal of Statistical Software, 91(12), 1–42. https://doi.org/10.18637/jss.v091.i12

Bauer P, Engblom S, Widgren S (2016). Fast event-based epidemiological simulations on national scales. International Journal of High Performance Computing Applications, 30(4), 438–453. https://doi.org/10.1177/1094342016635723


Acknowledgments

This software has been made possible by support from the Swedish Research Council within the UPMARC Linnaeus center of Excellence (Pavol Bauer, Robin Eriksson, and Stefan Engblom), the Swedish Research Council Formas (Stefan Engblom and Stefan Widgren), the Swedish Board of Agriculture (Stefan Widgren), the Swedish strategic research program eSSENCE (Stefan Widgren), and in the framework of the Full Force project, supported by funding from the European Union’s Horizon 2020 Research and Innovation programme under grant agreement No 773830: One Health European Joint Programme (Stefan Widgren).

Versioning

The SimInf package uses semantic versioning.

License

The SimInf package is licensed under the GPLv3.